Alberta, Math 10 Resources
Alberta Grade 10 Math Curriculum
Grade 10 Math Formula Sheets (click on image to download PDF file)
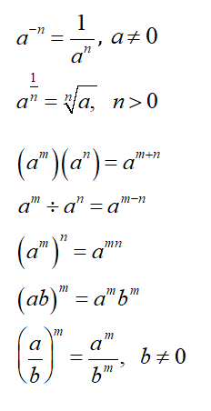
Exponent Laws

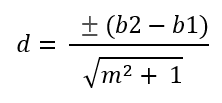
Line Equation Quick Reference (Math 10C)
Alberta Grade 10 Math Curriculum
Grade 10 Math Formula Sheets (click on image to download PDF file)
Exponent Laws

Line Equation Quick Reference (Math 10C)